齐燃副教授在玻色-费米混合超流体系研究中取得进展
齐燃 研究组 供稿 2017-03-03
物理学系齐燃副教授与清华大学翟荟教授研究组、中国科学院武汉物理与数学研究所姜玉铸副研究员合作,在理论上预言了玻色-费米混合超流体系中的涡旋晶格结构并给出了不同相互作用参数下的相图。相关工作发表在《物理评论快报》(Physical Review Letters)上(Phys. Rev. Lett. 118, 080403)。
超导和超流体系中的涡旋态在传统凝聚态领域以及超冷原子分子领域中都是长期受到关注的重要研究课题。早在1957年,前苏联著名物理学家,2003年诺贝尔奖得主A. A. Abrikosov就指出:在外磁场中的第二类超导体会呈现三角晶格结构的涡旋格子,这一预言很快得到了实验证实。近二十年来,随着超冷原子实验技术的迅速发展,实验上陆续在玻色原子超流体以及费米原子的BCS-BEC渡越超流体系中观测到了三角结构的涡旋晶格。
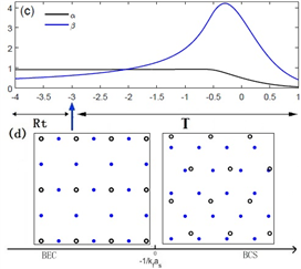
然而,之前关于涡旋晶格的工作主要集中在单独的玻色或费米原子超流体系,而对于玻色-费米混合超流体系的相关研究相对匮乏。近一两年以来,越来越多的国内外实验小组开始关注玻色-费米混合体系。而齐燃及合作者的理论工作预言了该体系中可能出现的涡旋晶格。他们发现,与单一超流系统不同,由于玻色超流与费米超流之间存在相互作用,在玻色-费米混合体系中会出现更为丰富的涡旋晶格结构。例如:在质量比接近2:1的情况下(如Rb87与K40混合,见下图(a)、(b)),玻色超流与费米超流的涡旋晶格总是耦合在一起,其晶格结构会经历从正方晶格-菱形-三角晶格的相变;而当质量比接近4:1(如Na23与Li6混合,见下图(c)、(d)),此时玻色超流与费米超流的涡旋晶格可以是彼此耦合的长方加菱形晶格,也可能出现彼此解耦的三角晶格。该工作丰富了人们对于超流体中涡旋晶格结构的认识。


论文链接:
http://journals.aps.org/prl/abstract/10.1103/PhysRevLett.118.080403
附件